
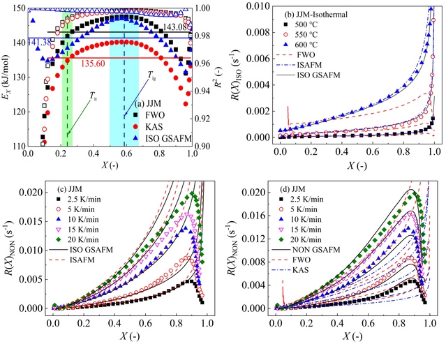
图1 GSAFM、ISAFM、FWO和KAS获取的煤焦转化动力学参数以及预测的等温和非等温燃烧的
反应速率与实验数据对比
煤/焦本征反应性(反应速率不受氧化剂内外扩散的影响)的研究至关重要,以其为基础结合扩散、传热传质机理可实现对现实环境中煤的反应速率预测,从而有利于煤炭的清洁高效利用。近期,我校低碳能源与动力工程学院的刘洋副教授研究团队在焦转化本征反应动力学领域取得了重要的研究成果。研究论文“General surface activation function model for intrinsic reaction kinetics of char conversion”被第40届国际燃烧会议(40th International Symposium on Combustion)选为口头报告,此为我校的研究成果首次受到该国际顶级会议的高度认可。
热分析获取本征反应动力学参数的研究已经发展数十年,但仍然存在如下三大问题待解决:①非等温和等温动力学参数的不统一;②定值动力学参数和变动力学参数均值的不统一;③缺乏不含不确定参数的反应机理函数模型。刘洋课题组提出了不含不确定参数的通用表面活化函数模型GSAFM,其反应机理函数f(X) = 1–X且本征活化能EX和指前因子AX是随转化率X变化的如图1(a)所示,该模型很好地解决了问题①~③:GSAFM很好地预测了煤焦的等温(图1(b))和非等温本征(图1(c))以及表观反应速率(图1(d)),且ISO GSAFM获得的均值Ex为141.38 kJ/mol,与定值动力学模型ISAFM获得的145.84 kJ/mol误差仅为3%。同时图1(b)和(d)还表明GSAFM对反应速率的预测精度与沿用至今的常用变动力学模型FWO(于1965提出,被引次数超过1万次)和KAS(于1957年提出,被引次数超过1.5万次)相比有了大幅提升。GSAFM获得的本征活化能随转化率的变化规律(图1(a))能很好地解释现实中煤着火困难(Ex最大,浅蓝色区间)和反应后期失活(Ex从降低趋势转变为突然增加的临界点,X为97%左右)的机理。目前,GSAFM已成功应用于煤/生物质焦的燃烧气化本征反应速率的预测,为正确获取煤/生物质转化的本征反应变动力学参数提供了新的方法。GSAFM有望为基于定值动力学模型的CFD模拟提供新的本征反应动力学子模型,推动CFD模拟朝着更本征的方向发展,提高模型的泛化能力。
此成果以中国矿业大学为第一研究单位,由刘洋副教授作为第一作者和通讯作者,低碳能源与动力工程学院周怀春教授担任共同通讯作者。此外,华中科技大学、中国华能集团有限公司及华能营口热电有限责任公司也参与了此研究合作。
据悉,国际燃烧学会(The Combustion Institute)成立于1954年,是国际燃烧界的最高学术组织。同时该学会还主办了权威学术期刊《Progress in Energy and Combustion Science》《Combustion and Flame》和《Proceedings of the Combustion Institute》。其系列学术会议更是燃烧科学领域的最高级别学术盛会,每两年举办一次。今年的国际燃烧会议将于2024年7月21日至26日在意大利的米兰市召开。